Page 49 - 2024 TOMO III (noviembre)
P. 49
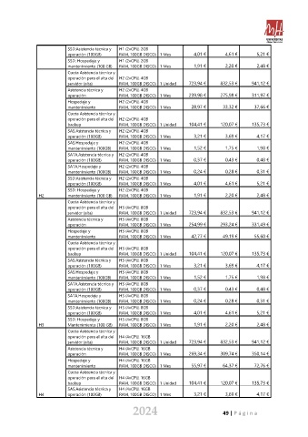
SSD.Asistencia técnica y H1 (2vCPU, 2GB
operación (100GB) RAM, 100GB DISCO) 1 Mes 4,01 € 4,61 € 5,21 €
SSD. Hospedaje y H1 (2vCPU, 2GB
mantenimiento (100 GB) RAM, 100GB DISCO) 1 Mes 1,91 € 2,20 € 2,48 €
Cuota Asistencia técnica y
operación para el alta del H2 (2vCPU, 4GB
servidor (alta) RAM, 100GB DISCO) 1 Unidad 723,94 € 832,53 € 941,12 €
Asistencia técnica y H2 (2vCPU, 4GB
operación RAM, 100GB DISCO) 1 Mes 239,98 € 275,98 € 311,97 €
Hospedaje y H2 (2vCPU, 4GB
mantenimiento RAM, 100GB DISCO) 1 Mes 28,97 € 33,32 € 37,66 €
Cuota Asistencia técnica y
operación para el alta del H2 (2vCPU, 4GB
backup RAM, 100GB DISCO) 1 Unidad 104,41 € 120,07 € 135,73 €
SAS.Asistencia técnica y H2 (2vCPU, 4GB
operación (100GB) RAM, 100GB DISCO) 1 Mes 3,21 € 3,69 € 4,17 €
SAS.Hospedaje y H2 (2vCPU, 4GB
mantenimiento (100GB) RAM, 100GB DISCO) 1 Mes 1,52 € 1,75 € 1,98 €
SATA.Asistencia técnica y H2 (2vCPU, 4GB
operación (100GB) RAM, 100GB DISCO) 1 Mes 0,37 € 0,43 € 0,48 €
SATA.Hospedaje y H2 (2vCPU, 4GB
mantenimiento (100GB) RAM, 100GB DISCO) 1 Mes 0,24 € 0,28 € 0,31 €
SSD.Asistencia técnica y H2 (2vCPU, 4GB
operación (100GB) RAM, 100GB DISCO) 1 Mes 4,01 € 4,61 € 5,21 €
SSD. Hospedaje y H2 (2vCPU, 4GB
H2 mantenimiento (100 GB) RAM, 100GB DISCO) 1 Mes 1,91 € 2,20 € 2,48 €
Cuota Asistencia técnica y
operación para el alta del H3 (4vCPU, 8GB
servidor (alta) RAM, 100GB DISCO) 1 Unidad 723,94 € 832,53 € 941,12 €
Asistencia técnica y H3 (4vCPU, 8GB
operación RAM, 100GB DISCO) 1 Mes 254,99 € 293,24 € 331,49 €
Hospedaje y H3 (4vCPU, 8GB
mantenimiento RAM, 100GB DISCO) 1 Mes 42,77 € 49,19 € 55,60 €
Cuota Asistencia técnica y
operación para el alta del H3 (4vCPU, 8GB
backup RAM, 100GB DISCO) 1 Unidad 104,41 € 120,07 € 135,73 €
SAS.Asistencia técnica y H3 (4vCPU, 8GB
operación (100GB) RAM, 100GB DISCO) 1 Mes 3,21 € 3,69 € 4,17 €
SAS.Hospedaje y H3 (4vCPU, 8GB
mantenimiento (100GB) RAM, 100GB DISCO) 1 Mes 1,52 € 1,75 € 1,98 €
SATA.Asistencia técnica y H3 (4vCPU, 8GB
operación (100GB) RAM, 100GB DISCO) 1 Mes 0,37 € 0,43 € 0,48 €
SATA.Hospedaje y H3 (4vCPU, 8GB
mantenimiento (100GB) RAM, 100GB DISCO) 1 Mes 0,24 € 0,28 € 0,31 €
SSD.Asistencia técnica y H3 (4vCPU, 8GB
operación (100GB) RAM, 100GB DISCO) 1 Mes 4,01 € 4,61 € 5,21 €
SSD. Hospedaje y H3 (4vCPU, 8GB
H3 Mantenimiento (100 GB) RAM, 100GB DISCO) 1 Mes 1,91 € 2,20 € 2,48 €
Cuota Asistencia técnica y
operación para el alta del H4 (4vCPU, 16GB
servidor (alta) RAM, 100GB DISCO) 1 Unidad 723,94 € 832,53 € 941,12 €
Asistencia técnica y H4 (4vCPU, 16GB
operación RAM, 100GB DISCO) 1 Mes 269,34 € 309,74 € 350,14 €
Hospedaje y H4 (4vCPU, 16GB
mantenimiento RAM, 100GB DISCO) 1 Mes 55,97 € 64,37 € 72,76 €
Cuota Asistencia técnica y
operación para el alta del H4 (4vCPU, 16GB
backup RAM, 100GB DISCO) 1 Unidad 104,41 € 120,07 € 135,73 €
SAS.Asistencia técnica y H4 (4vCPU, 16GB
H4 operación (100GB) RAM, 100GB DISCO) 1 Mes 3,21 € 3,69 € 4,17 €
2024 49 | P á gi na

