Page 52 - 2022 TOMO III (modif.1)
P. 52
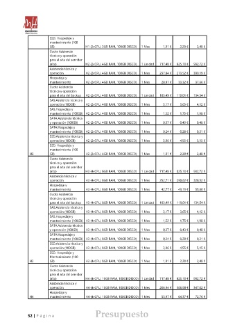
SSD. Hospedaje y
mantenimiento (100
GB) H1 (2vCPU, 2GB RAM, 100GB DISCO) 1 Mes 1,91 € 2,20 € 2,48 €
Cuota Asistencia
técnica y operación
para el alta del servidor
(alta) H2 (2vCPU, 4GB RAM, 100GB DISCO) 1 Unidad 717,48 € 825,10 € 932,72 €
Asistencia técnica y
operación H2 (2vCPU, 4GB RAM, 100GB DISCO) 1 Mes 237,84 € 273,52 € 309,19 €
Hospedaje y
mantenimiento H2 (2vCPU, 4GB RAM, 100GB DISCO) 1 Mes 28,97 € 33,32 € 37,66 €
Cuota Asistencia
técnica y operación
para el alta del backup H2 (2vCPU, 4GB RAM, 100GB DISCO) 1 Unidad 103,49 € 119,01 € 134,54 €
SAS.Asistencia técnica y
operación (100GB) H2 (2vCPU, 4GB RAM, 100GB DISCO) 1 Mes 3,17 € 3,65 € 4,12 €
SAS.Hospedaje y
mantenimiento (100GB) H2 (2vCPU, 4GB RAM, 100GB DISCO) 1 Mes 1,52 € 1,75 € 1,98 €
SATA.Asistencia técnica
y operación (100GB) H2 (2vCPU, 4GB RAM, 100GB DISCO) 1 Mes 0,37 € 0,43 € 0,48 €
SATA.Hospedaje y
mantenimiento (100GB) H2 (2vCPU, 4GB RAM, 100GB DISCO) 1 Mes 0,24 € 0,28 € 0,31 €
SSD.Asistencia técnica y
operación (100GB) H2 (2vCPU, 4GB RAM, 100GB DISCO) 1 Mes 3,96 € 4,55 € 5,15 €
SSD. Hospedaje y
mantenimiento (100
H2 GB) H2 (2vCPU, 4GB RAM, 100GB DISCO) 1 Mes 1,91 € 2,20 € 2,48 €
Cuota Asistencia
técnica y operación
para el alta del servidor
(alta) H3 (4vCPU, 8GB RAM, 100GB DISCO) 1 Unidad 717,48 € 825,10 € 932,72 €
Asistencia técnica y
operación H3 (4vCPU, 8GB RAM, 100GB DISCO) 1 Mes 252,71 € 290,62 € 328,52 €
Hospedaje y
mantenimiento H3 (4vCPU, 8GB RAM, 100GB DISCO) 1 Mes 42,77 € 49,19 € 55,60 €
Cuota Asistencia
técnica y operación
para el alta del backup H3 (4vCPU, 8GB RAM, 100GB DISCO) 1 Unidad 103,49 € 119,01 € 134,54 €
SAS.Asistencia técnica y
operación (100GB) H3 (4vCPU, 8GB RAM, 100GB DISCO) 1 Mes 3,17 € 3,65 € 4,12 €
SAS.Hospedaje y
mantenimiento (100GB) H3 (4vCPU, 8GB RAM, 100GB DISCO) 1 Mes 1,52 € 1,75 € 1,98 €
SATA.Asistencia técnica
y operación (100GB) H3 (4vCPU, 8GB RAM, 100GB DISCO) 1 Mes 0,37 € 0,43 € 0,48 €
SATA.Hospedaje y
mantenimiento (100GB) H3 (4vCPU, 8GB RAM, 100GB DISCO) 1 Mes 0,24 € 0,28 € 0,31 €
SSD.Asistencia técnica y
operación (100GB) H3 (4vCPU, 8GB RAM, 100GB DISCO) 1 Mes 3,96 € 4,55 € 5,15 €
SSD. Hospedaje y
Mantenimiento (100
H3 GB) H3 (4vCPU, 8GB RAM, 100GB DISCO) 1 Mes 1,91 € 2,20 € 2,48 €
Cuota Asistencia
técnica y operación
para el alta del servidor
(alta) H4 (4vCPU, 16GB RAM, 100GB DISCO) 1 Unidad 717,48 € 825,10 € 932,72 €
Asistencia técnica y
operación H4 (4vCPU, 16GB RAM, 100GB DISCO) 1 Mes 266,94 € 306,98 € 347,02 €
Hospedaje y
H4 mantenimiento H4 (4vCPU, 16GB RAM, 100GB DISCO) 1 Mes 55,97 € 64,37 € 72,76 €
52 | P á gi na Presupuesto

